《巅峰极速》新学期数学开课啦!
“叮铃铃!” 伴随着一阵清脆悦耳的上课铃声悠悠响起,各位车手们在巅峰大学的新学期过得怎么样呢?
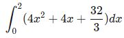
今天,小可隆重揭晓我们开学季的第二门科目—— 【数学】!在介绍之前,小可先给车手们出道题,让大家沉浸式体验下这门课,请看题:

一看到这道题,小可脑壳突然就疼起来了...(看不懂啊思密达,这是英文吗)
算出来的车手,恭喜你已经找到了这节巅峰数学课的答案,能够抢先一步知道这门课程的重点福利内容!
还没有算出答案的车手,继续听讲查看后面的“课件”,也可以获得本节课的答案哦!
由此可见,不管是生活中还是在巅峰大学,【数学】对车手们都至关重要!
小可说的重要不仅体现在【数学】本身,更是它背后那令人心动不已的福利!学好这门课,你就能轻松玩转整个24S6赛季!
在【抢车位】中合理规划车辆,计算如何停车才能获得最高收益;
和车搭子共同踏上【秋游之旅】,在奖励金字塔中高效冲击奖励;
数着【如愿车展】必得抽数投入宝石车钥,直接拿下dream car……
而本次开学季中的【数学】课程,核心关键词是免费,只为让车手们轻松通过不挂科!
新学期福利再度来袭,小可再为车手们送上免费连抽福利,承包你整个9月周末的快乐!

开学季福利陆续上线中,还有更多惊喜即将解锁,快来和小可来深入了解下吧!
40+400=整个9月份的快乐!
现实中的数学令你抓耳挠腮,巅峰大学里的【数学】课程绝对让你爱不释手!
本次【数学】课程包含看车速定最佳刹车点,算概率抽心仪的爱车,数日子算高效冲分法……
不仅如此,为了让车手们拥有一个良好的新学期,贴心的小可学姐还为车手们准备了“连环福利”!
至于福利有多少,就藏在刚刚小可给大家出的那道题中!那道题的正确答案为40,不知道有没有学霸车手算出来了呢?(可以在评论区教教小可嘛~~)
而我们的福利之一就是免费40连抽,除此以外还有400钻石 !免费40抽+400钻石 助力车手们开学季回归最佳状态,活力满满迎接更多课程!
9月7日-9月30日,每周末登录完成对应任务,即可领取10连抽以及100钻石,周末福利将持续4周,包揽车手们整个9月份!整整40抽+400钻石的开学季福利等你来领取。不仅课上活力满满,更要周末玩的过瘾!
同时,小可还为车手们准备了“周末排位鼓励”,选择不同鼓励能够高效完成任务,冲击更高段位,还能够领取丰厚奖励哦~

怎么样车手们,小可学姐就说这次的数学课能够学到新知识吧!
这门巅峰大学高分课程,各位车手们还不赶快“抢”起来!更有钻石奖励多多,本周末即可上线领取哦!
除此以外,期待已久的小长假也即将到来,车手们都有什么安排呀?
小可已经提前为车手们规划好小长假福利了,来自历史,语文,地理,物理课程的惊喜!
也许有些车手已经猜到了他们分别代表着什么,这些惊喜“课程”或许很快就会与大家见面正式登场,车手们准备好迎接了吗?
更多丰富福利等待大家去探索!车手们还期待哪一门的重点内容呢?也可以在评论区交流,说不定下一门课程揭晓的就是你想要的!
最后,车手们要记得每周末上线《巅峰极速》领取免费连抽和钻石福利哦~
(截图仅供参考,一切以游戏实际上线为准)
相关知识
《巅峰极速》新学期这些重点内容你能猜中多少!
《巅峰极速》24S6 车友 车位给我抢下?
极速数学:最强大脑训练好玩吗 极速数学:最强大脑训练玩法简介
《巅峰极速》我们又要线下见面啦?
巅峰极速金币怎么获取 巅峰极速金币获取方法
巅峰极速图片 极速巅峰图片
极速数学:最强大脑训练什么时候出 公测上线时间预告
巅峰极速今日全平台巅峰公测 登录送240抽
巅峰极速金币怎么获取
《巅峰极速》钻石怎么获取
推荐资讯
- 1mc.js网页版点击即玩 m 8141
- 2老六爱找茬美女的烦恼怎么过- 5798
- 3博德之门3黄金雏龙法杖怎么得 5650
- 4《大侠立志传》剿灭摸金门任务 5068
- 5代号破晓官方正版角色介绍 4792
- 6赛马娘锻炼到底的伙伴支援卡事 4575
- 7闪烁之光11月兑换码大全20 4548
- 8《我的世界》领地删除指令是什 4456
- 9部落冲突陈塘关版本的玩法介绍 4429
- 10爆梗找茬王厕所特工怎么通关- 4296